
Motomazine.com – Masbro, awali bulan Juli PT. Pertamina selaku pemegang hak edar bbk terbesar di tanah air baru saja merilis harga bahan bakar kendaraan terbaru di Indonesia. Yap, per 1 juli 2018 bbk jenis pertamax kembali alami kenaikan hampir tembus Rp 10 ribu.
Seperti yang kita tahu, sejak subsidi dicabut harga bahan bakar ini memang menjadi fluktuatif. Semua tergantung harga minyak internasional. Naik ya naik, turun ya turun.
Dan beberapa bulan terakhir ini rupanya tren bahan bakar, terutama pertamax terus alami kenaikan. Di daerah mmz sendiri Pertamax (ron 92) alami kenaikan yang cukup tinggi. Tembus Rp 600,-.
Pertamax yang semula dijual seharga Rp 8.900,- kini terkoreksi naik menjadi Rp 9.500,-. Begitupun si merah Pertamax Turbo yang naik dari Rp 10.150,- menjadi Rp Rp 10.700,- (per liter)
Buat sampeyan penyemplak mobil diesel sepertinya juga harus sedikit mengeluarkan kocek lebih. Pasalnya si Dexlite juga alami kenaikan harga dari Rp 8.100,- menjadi Rp 9.000,- juga Pertamina Dex naik dari Rp 10.100,- menjadi Rp 10.500,- (per liter)
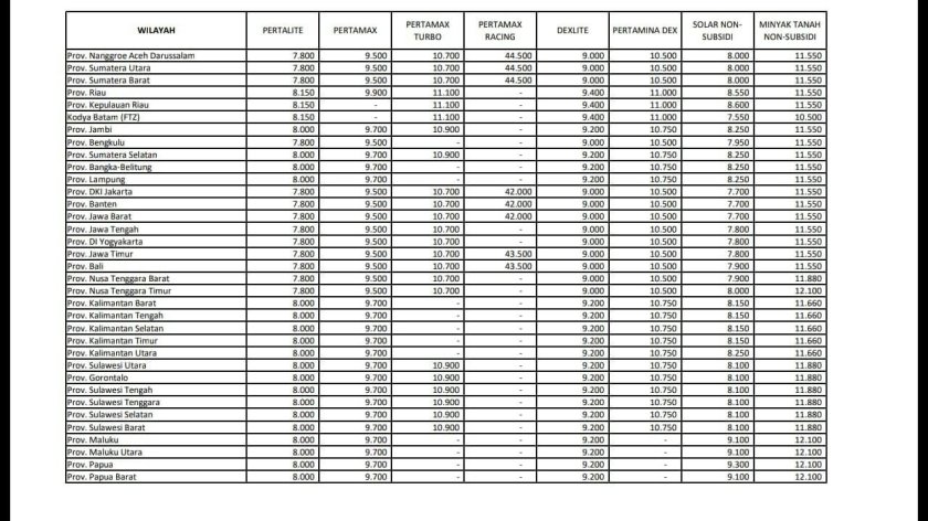
Yth rekan rekan pengusaha/pengelola/pemilik spbu disampaikan
*perubahan Harga BBK TMT minggu , 01 juli 2018 jam 00.00*Pertalite Rp. 7.800 —> *7.800*
Pertamax Rp. 8.900 —> *9.500*
Pertamax turbo Rp. 10.150 —> *10.700*
Dexlite Rp. 8.100 —> *9.000*
Solar non pso Rp. 7.600 —> *7.800*
Pertamina dex Rp. 10.100 —> *10.500*
Ya sudahlah, berapapun itu kenaikan bahan bakar, toh kita juga musti tetap membelinya. Selama belum lebih dari 10 ribu per liternya, belinya masih, Rp 10.000,- pak. Hehe….

Buat yang mau beli bbk dalam jumlah banyak, mulai hari ini 1 Juli 2018 siapkan uang lebih, sebab harganya naik. Semoga berguna (mmz)
Lebih dekat dengan Motomazine di:
- e-mail: motomazineblog@gmail.com
- facebook: motomazine.com
- twitter: motomazine
- IG: @motomazineblog
- Youtube channel: Motomazine
- WA: 085233819298
- BB: D8DCFC9A

asik .. pertamax 10rb
http://www.sukabalapmotor.com/2018/06/ini-dia-formasi-tim-merah-putih-mxgp.html?m=1
SukaSuka
Biarkan terus merangkak naik lek
SukaSuka
suwe2 pake minyak jlantah mas wkwkwkwk
SukaSuka
Haha…gurih dong
SukaSuka
aroma ikan asin 😂
SukaSuka
Awas kucing..haha
SukaSuka
Nyimak,Pak…
http://zonamotor.net/2018/07/01/motor-bebek-cub-murah-yang-tersisa-mana-lebih-patut-dipinang/
SukaDisukai oleh 1 orang
Paijan pun mimik belum pak ni tadi?
SukaSuka
Wingi …
SukaSuka
Harga lama berarti
SukaSuka